Sense Wide
article thumbnail

 


이동통신과 무선채널 시리즈

(1)  유선 채널과 무선 채널의 차이점
(2)  Large-scale fading: Pathloss와 shadowing (1)
(2)  Large-scale fading: Pathloss와 shadowing (2)
(3) Small-scale fading: Delay spread, Doppler spread
(4)  Small-scale fading 예제
(5) Small-scale fading: Rayleigh / Rician channel

 

이번 포스팅에서는 구체적인 값을 통해 해당 채널이 small-scale fading 채널 중 어디에 속하는지 확인하는 내용을 다룬다. 앞의 포스팅((3)  Small-scale fading)에서 다루었듯, small-scale fading은 frequency-flat, frequency selective, fast-fading, slow-fading에 의해 결정되는 다음의 4개의 채널 중 하나에 속한다고 볼 수 있다. 

주파수/시간에 따른 Multipath channel들

 

아래 두 가지의 예제를 통해서, 다중경로 페이딩 (Multi-path fading)의 예시를 알아보자.

채널 예제

전송 모델

  • 전송 심볼 길이 (Ts) = 10 ns
  • 캐리어 주파수 (fc) = 2 GHz

채널 모델

  • 지연확산 (Delay spread) = 1 μs

UE 이동성

  • 이동 속도 (v) = 200 km/h

 

 

주파수 선택적/비선택적 확인

1. 지연확산으로부터 상관대역폭 계산

2. 심볼길이로부터 캐리어대역폭 계산

3. 비교

 

4. (심화) Inter-symbol interference (ISI)

1-3 과정을 통해, 주파수 선택적이라는 결론을 얻을 수 있었다. 즉, 우리가 쓸 대역폭인 캐리어 대역폭이 상관대역폭보다 크므로 채널은 주파수축에서 큰 fading을 겪는다. (이전 포스팅 (3)  Small-scale fading 참고) 이 문제를 심볼주기와 Delay spread로 표현할 수 있는 딜레이 축에서 다시 살펴보면 다음과 같다.

 

좌: ISI가 발생하는 경우 (주파수 선택적), 우: ISI가 발생하지 않는 경우 (주파수 비선택적)

 

왼쪽과 같이 Delay spread가 심볼 주기보다 큰 경우, 다중경로로 인한 NLOS 심볼이 다른 심볼이 겹치게 되는 ISI가 발생하지만, 오른쪽과 같이 심볼주기가 긴 경우 발생하지 않는다.

이 말은 넓은 대역폭을 사용할 수록 상관대역폭을 넘어가서 주파수 선택적일 확률이 높아지고, 다른 심볼과 간섭이 생길 가능성이 많아짐을 의미한다. 즉, 주파수 선택적인 채널은 ISI를 동반한다.

 

 

느린 페이딩/빠른 페이딩 확인 

1. 이동 속도로부터 Doppler spread 계산

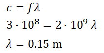
 1-1. 캐리어 주파수로부터 파장계산

c: 빛의속도, f: 캐리어주파수

 1-2. 파장으로부터 Doppler spread 계산

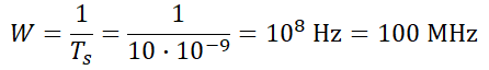
2. 상관시간 (Coherence time) 계산

계산하는 과정에서 1대신 계수 0.8~0.9를 곱해주는 경우도 있음

3. 비교

상관 시간 2.7 ms로부터 우리는 채널이 시간축으로 2.7 밀리초까지 유지된다는 것을 확인할 수 있다. 이 때, 심볼주기가 10 ns이고 이것은 2.7 ms보다 훨씬 작으므로 채널은 slow fading이라고 말할 수 있다.

4. 캐리어 주파수를 높이는 것이 더 어려운 이유

캐리어 주파수를 높이는 데 어려운 이유는 여러가지가 있다. 회로적으로 봤을 때 캐리어 주파수를 높이면 Noise figure이 늘어난다 (회로전공이 아니라 모르지만, 회로 자체의 노이즈가 늘어난다는 의미로 해석함). 통신적으로 보면, fc가 높아짐에 따라, λ는 작아지고, 같은 이동성 대비 doppler spread는 커진다.

이 말은, 상관시간이 작아진다는 말과 같다. 즉 채널의 변동성이 더욱 커지며 fast-fading의 채널이 될 확률이 높아짐을 의미한다. 따라서, 고주파 대역으로의 무조건적인 이동이 불가능한 이유이다.

 

예제 마무리

본 예제를 통해 다중경로 채널이 어느 채널에 속하는지 알아보았다. 또한, 심볼간간섭 및 캐리어주파수에대한 고찰도 함께 해보았다. 결과적으로, 아래와 같은 채널임을 확인할 수 있었다.

 

 


이동통신과 무선채널 시리즈

(1)  유선 채널과 무선 채널의 차이점
(2)  Large-scale fading: Pathloss와 shadowing (1)
(2)  Large-scale fading: Pathloss와 shadowing (2)
(3) Small-scale fading: Delay spread, Doppler spread
(4)  Small-scale fading 예제
(5) Small-scale fading: Rayleigh / Rician channel

 

profile

Sense Wide

@June_Kim

포스팅이 좋았다면 "좋아요❤️" 또는 "구독👍🏻" 해주세요!